Вариант № 5

Централизованное тестирование по химии, 2016

При выполнении заданий с кратким ответом впишите в поле для ответа цифру, которая соответствует номеру правильного ответа, или число, слово, последовательность букв (слов) или цифр. Ответ следует записывать без пробелов и каких-либо дополнительных символов.

В заданиях, где нужно установить соответствие между двумя столбцами, ответ запишите в виде сочетания букв и цифр, соблюдая алфавитную последовательность букв левого столбца. Некоторые данные правого столбца могут использоваться несколько раз или не использоваться вообще. Например: А1Б1B4Г2.


Если вариант задан учителем, вы можете вписать или загрузить в систему ответы к заданиям с развернутым ответом. Учитель увидит результаты выполнения заданий с кратким ответом и сможет оценить загруженные ответы к заданиям с развернутым ответом. Выставленные учителем баллы отобразятся в вашей статистике.


Версия для печати и копирования в MS Word
1
Задание № 201
i

Од­но­атом­ны­ми мо­ле­ку­ла­ми (н. у.) об­ра­зо­ва­но про­стое ве­ще­ство:



2
Задание № 202
i

Заряд ядра хи­ми­че­ско­го эле­мен­та +28. Его от­но­си­тель­ная атом­ная масса равна:



3
Задание № 203
i

Уста­но­ви­те со­от­вет­ствие между элек­трон­ной кон­фи­гу­ра­ци­ей внеш­не­го энер­ге­ти­че­ско­го уров­ня атома (иона) в ос­нов­ном со­сто­я­нии и на­зва­ни­ем ча­сти­цы.

ЭЛЕК­ТРОН­НАЯ КОН­ФИ­ГУ­РА­ЦИЯ

1 — 3s23p6

2 — 4s24p6

3 — 2s22p5

НА­ЗВА­НИЕ ЧА­СТИ­ЦЫ

а — атом серы

б — ка­ти­он калия

в — бро­мид-ион

г — атом ксе­но­на

д — атом фтора



4
Задание № 204
i

Элек­тро­от­ри­ца­тель­ность хи­ми­че­ских эле­мен­тов стро­го воз­рас­та­ет в ряду:



5
Задание № 205
i

Оха­рак­те­ри­зуй­те хи­ми­че­скую связь в мо­ле­ку­ле уг­ле­кис­ло­го газа:

 

а)  ко­ва­лент­ная по­ляр­ная

б)  ко­ва­лент­ная не­по­ляр­ная

в)  крат­ная

г)  оди­нар­ная



6
Задание № 206
i

Сте­пень окис­ле­ния −2 имеют атомы кис­ло­ро­да в со­еди­не­нии:



7
Задание № 207
i

Ион­ную кри­стал­ли­че­скую решётку (н. у.) имеет ве­ще­ство:



8
Задание № 208
i

С по­мо­щью при­бо­ра, изоб­ражённого на ри­сун­ке, спо­со­бом вы­тес­не­ния воз­ду­ха с ми­ни­маль­ны­ми по­те­ря­ми можно со­брать газ (н. у.):



9
Задание № 209
i

Же­лез­ный гвоздь мас­сой 11,2 г пол­но­стью рас­тво­ри­ли в из­быт­ке со­ля­ной кис­ло­ты мас­сой 270г. Масса (г) об­ра­зо­вав­ше­го­ся рас­тво­ра после за­вер­ше­ния ре­ак­ции со­став­ля­ет (рас­тво­ри­мо­стью вы­де­ля­ю­ще­го­ся газа пре­не­бречь):



10
Задание № 210
i

Кис­лот­ный оксид об­ра­зу­ет­ся при вза­и­мо­дей­ствии кис­ло­ро­да с ве­ще­ством:



11
Задание № 211
i

Твёрдый гид­рок­сид на­трия це­ле­со­об­раз­но ис­поль­зо­вать для осу­ше­ния влаж­но­го газа:



12
Задание № 212
i

Газ вы­де­ля­ет­ся при до­бав­ле­нии из­быт­ка раз­бав­лен­ной сер­ной кис­ло­ты к ве­ще­ствам:

 

а)  \ChemFormNaBr

б)  \ChemFormK_2CO_3

в)  \ChemFormCaSO_3

г)  \ChemFormNaNO_3



13
Задание № 213
i

В раз­бав­лен­ном вод­ном рас­тво­ре с нит­ра­том се­реб­ра при 20 °C ре­а­ги­ру­ют ве­ще­ства:

 

а)  \ChemFormHCl

б)  \ChemFormNa_2SO_4

в)  \ChemForm левая круг­лая скоб­ка NH_4 пра­вая круг­лая скоб­ка _2CO_3

г)  \ChemFormHF



14
Задание № 214
i

Бром, так же как и йод:

 

а)  об­ра­зу­ет га­ло­ге­ни­ды

б)  яв­ля­ет­ся жид­ко­стью (н. у.)

в)  НЕ имеет ал­ло­троп­ных мо­ди­фи­ка­ций

г)  об­ра­зу­ет силь­ную га­ло­ге­но­во­до­род­ную кис­ло­ту



15
Задание № 215
i

Кис­ло­род об­ра­зу­ет­ся в ре­зуль­та­те пре­вра­ще­ния:



16
Задание № 216
i

Ука­жи­те пра­виль­ные утвер­жде­ния от­но­си­тель­но азота:

 

а)  в мо­ле­ку­ле име­ет­ся крат­ная связь

б)  про­стое ве­ще­ство со­сто­ит из по­ляр­ных мо­ле­кул

в)  об­ра­зу­ет­ся при го­ре­нии ам­ми­а­ка в кис­ло­ро­де

г)  яв­ля­ет­ся газом (н. у.) без цвета и за­па­ха



17
Задание № 217
i

При про­пус­ка­нии уг­ле­кис­ло­го газа через че­ты­ре про­бир­ки с рас­тво­ра­ми ве­ществ в двух из них на­блю­да­лось по­мут­не­ние рас­тво­ров. В этих двух про­бир­ках на­хо­ди­лись ве­ще­ства:

 

а)  \ChemFormK_2SiO_3

б)  \ChemFormCa левая круг­лая скоб­ка OH пра­вая круг­лая скоб­ка _2

в)  \ChemFormMg левая круг­лая скоб­ка HCO_3 пра­вая круг­лая скоб­ка _2

г)  \ChemFormKOH



18
Задание № 218
i

При до­бав­ле­нии ме­тал­ла (20 °C) в вод­ный рас­твор суль­фа­та меди(II) выпал оса­док, со­дер­жа­щий слож­ное ве­ще­ство. Ука­жи­те фор­му­лу ме­тал­ла:



19
Задание № 219
i

Мас­со­вая доля кис­ло­ро­да в его ок­си­де \ChemFormMeO равна 40%. Для ме­тал­ла спра­вед­ли­вы утвер­жде­ния:

 

а)  на­хо­дит­ся в груп­пе IIB

б)  оксид Не рас­тво­ря­ет­ся в воде (20 °C)

в)  ре­а­ги­ру­ет с го­ря­чей водой

г)  еа­ги­ру­ет с раз­бав­лен­ны­ми рас­тво­ра­ми как кис­лот, так и ще­ло­чей.



20
Задание № 220
i

В от­ли­чие от воды раз­бав­лен­ный вод­ный рас­твор гид­рок­си­да калия рас­тво­ря­ет:

 

а)  \ChemFormRb_2O

б)  \ChemFormBe

в)  \ChemFormZnO

г)  \ChemFormCu



21
Задание № 221
i

В за­кры­том со­су­де по­сто­ян­но­го объёма уста­но­ви­лось рав­но­ве­сие

H$_2$ левая круг­лая скоб­ка г. пра­вая круг­лая скоб­ка плюс I$_2$ левая круг­лая скоб­ка г. пра­вая круг­лая скоб­ка \Equilibarrow$ 2HI левая круг­лая скоб­ка г. пра­вая круг­лая скоб­ка плюс Q.

Затем тем­пе­ра­ту­ру по­вы­си­ли. Для новой рав­но­вес­ной си­сте­мы по срав­не­нию с пер­во­на­чаль­ной вер­ны­ми яв­ля­ют­ся утвер­жде­ния:

 

а)  дав­ле­ние не из­ме­ни­лось

б)  дав­ле­ние уве­ли­чи­лось

в)  ко­ли­че­ство йода уве­ли­чи­лось

г)  ко­ли­че­ство йо­до­во­до­ро­да уве­ли­чи­лось, а во­до­ро­да − умень­ши­лось на такую же ве­ли­чи­ну.



22
Задание № 222
i

Для по­лу­че­ния рас­тво­ра с мас­со­вой долей хло­ро­во­до­ро­да 5% к воде при­ли­ли со­ля­ную кис­ло­ту мас­сой 150 г с мас­со­вой долей хло­ро­во­до­ро­да 12%. Объём (см3) воды (\ChemForm\rho=1 г/см3), ис­поль­зо­ван­ной для раз­бав­ле­ния со­ля­ной кис­ло­ты, равен:



23
Задание № 223
i

В вод­ном рас­тво­ре с мо­ляр­ной кон­цен­тра­ци­ей ка­ти­о­нов во­до­ро­да 0,1 моль/дм3 в зна­чи­тель­ных кон­цен­тра­ци­ях могут на­хо­дить­ся ионы:

 

а)  \ChemFormHPO_4 в сте­пе­ни левая круг­лая скоб­ка 2 минус пра­вая круг­лая скоб­ка

б)  \ChemFormClO_4 в сте­пе­ни м инус

в)  \ChemFormSiO_3 в сте­пе­ни левая круг­лая скоб­ка 2 минус пра­вая круг­лая скоб­ка

г)  \ChemFormBr в сте­пе­ни м инус



24
Задание № 224
i

Пра­вая часть со­кращённого ион­но­го урав­не­ния имеет вид: _\ChemForm = Mg в сте­пе­ни левая круг­лая скоб­ка 2 плюс пра­вая круг­лая скоб­ка плюс H_2O. Урав­не­нию со­от­вет­ству­ет ре­ак­ция между:



25
Задание № 225
i

При до­бав­ле­нии ок­си­да лития к воде, со­дер­жа­щей фе­нол­фта­ле­ин, в рас­тво­ре:

 

а)  уве­ли­чи­ва­ет­ся \ChemFormpH

б)  уве­ли­чи­ва­ет­ся кон­цен­тра­ция ионов \ChemFormH в сте­пе­ни п люс

в)  из­ме­ня­ет­ся окрас­ка

г)  умень­ша­ет­ся \ChemFormpH



26
Задание № 226
i

Для окис­ли­тель­но-вос­ста­но­ви­тель­ной ре­ак­ции \ChemFormKMnO_4 плюс KNO_2 плюс H_2O\reactrarrow0pt1 cm... вер­ны­ми яв­ля­ют­ся схемы пе­ре­хо­да элек­тро­нов:

 

а)  \ChemFormN в сте­пе­ни левая круг­лая скоб­ка плюс 3 пра­вая круг­лая скоб­ка плюс 1e в сте­пе­ни м инус \reactrarrow0pt0,5 cm N в сте­пе­ни левая круг­лая скоб­ка плюс 2 пра­вая круг­лая скоб­ка

б)  \ChemFormN в сте­пе­ни левая круг­лая скоб­ка плюс 3 пра­вая круг­лая скоб­ка минус 2e в сте­пе­ни м инус \reactrarrow0pt0,5 cm N в сте­пе­ни левая круг­лая скоб­ка плюс 5 пра­вая круг­лая скоб­ка

в)  \ChemFormMn в сте­пе­ни левая круг­лая скоб­ка плюс 7 пра­вая круг­лая скоб­ка плюс 3e в сте­пе­ни м инус \reactrarrow0pt0,5 cm Mn в сте­пе­ни левая круг­лая скоб­ка плюс 4 пра­вая круг­лая скоб­ка

г)  \ChemFormMn в сте­пе­ни левая круг­лая скоб­ка плюс 6 пра­вая круг­лая скоб­ка плюс 2e в сте­пе­ни м инус \reactrarrow0pt0,5 cm Mn в сте­пе­ни левая круг­лая скоб­ка плюс 4 пра­вая круг­лая скоб­ка



27
Задание № 227
i

Со­еди­не­ние, мо­дель мо­ле­ку­лы ко­то­ро­го изоб­ра­же­на на ри­сун­ке, имеет на­зва­ние:



28
Задание № 228
i

Число вто­рич­ных ато­мов уг­ле­ро­да в мо­ле­ку­ле 3,3-ди­эти­л­гек­са­на равно:



29
Задание № 229
i

При дей­ствии хлора на бу­та­ди­ен-1,3 НЕ об­ра­зу­ет­ся:



30
Задание № 230
i

аце­ти­лен H минус минус минус C \equiv$ C минус минус минус H вза­и­мо­дей­ству­ет с хло­ро­во­до­ро­дом в от­но­ше­нии хи­ми­че­ско­го ко­ли­че­ства 1:1. При этом:

 

а)  связь между ато­ма­ми уко­ра­чи­ва­ет­ся

б)  про­те­ка­ет ре­ак­ция за­ме­ще­ния

в)  ва­лент­ный угол \ChemFormH минус минус минус C минус минус минус C умень­ша­ет­ся

г)  число \ChemForm\sigma-свя­зей уве­ли­чи­ва­ет­ся



31
Задание № 231
i

При хло­ри­ро­ва­нии из­быт­ка бен­зо­ла в при­сут­ствии хло­ри­да алю­ми­ния с наи­боль­шим вы­хо­дом об­ра­зу­ет­ся про­дукт:



32
Задание № 232
i

Мо­ляр­ная масса (г/моль) ор­га­ни­че­ско­го про­дук­та Y пре­вра­ще­ний

равна:



33
Задание № 233
i

°Фенол в от­ли­чие от ук­сус­ной кис­ло­ты:



34
Задание № 234
i

Аль­де­гид об­ра­зу­ет­ся по схеме:



35
Задание № 235
i

Ор­га­ни­че­ское ве­ще­ство X2, по­лу­чен­ное в ре­зуль­та­те пре­вра­ще­ний

\ChemFormCH_3CH_2CH_2CHO \reactrarrow0pt3 cmAg_2O / NH_3, t X_1 \reactrarrow0pt3 cmC_2H_5OH / H в сте­пе­ни п люс , t X_2,

гид­ро­ли­зо­ва­ли из­быт­ком рас­тво­ра гид­рок­си­да на­трия. Про­дук­та­ми гид­ро­ли­за яв­ля­ют­ся:



36
Задание № 236
i

Ука­жи­те фор­му­лу \ChemForm альфа -глю­ко­зы:



37
Задание № 237
i

В ре­зуль­та­те вза­и­мо­дей­ствия \ChemForm левая круг­лая скоб­ка CH_3 пра­вая круг­лая скоб­ка _2CHNH_2 (1 моль) и \ChemFormH_2SO_4 (1 моль) об­ра­зу­ет­ся (20 °C):



38
Задание № 238
i

По­ли­мер, име­ю­щий стро­е­ние

об­ра­зу­ет­ся из мо­но­ме­ра:



39
Задание № 239
i

Уста­но­ви­те со­от­вет­ствие между на­зва­ни­ем ор­га­ни­че­ско­го ве­ще­ства и общей фор­му­лой го­мо­ло­ги­че­ско­го ряда, к ко­то­ро­му от­но­сит­ся дан­ное ве­ще­ство.

НА­ЗВА­НИЕ ВЕ­ЩЕ­СТВА

А)  бу­та­ди­ен-1,3

Б)  про­па­наль

В)  про­па­нол-2

Г)  бутин-1

ОБЩАЯ ФОР­МУ­ЛА ГО­МО­ЛО­ГИ­ЧЕ­СКО­ГО РЯДА

1)  \ChemFormC_nH_2n минус 2

2)  \ChemFormC_nH_2n плюс 2

3)  \ChemFormC_nH_2n плюс 2O

4)  \ChemFormC_nH_2nO

5)  \ChemFormC_nH_2nO_2

Ответ за­пи­ши­те в виде со­че­та­ния букв и цифр, со­блю­дая ал­фа­вит­ную по­сле­до­ва­тель­ность букв ле­во­го столб­ца, на­при­мер: А2Б2В5Г1.


Ответ:

40
Задание № 240
i

Вы­бе­ри­те утвер­жде­ния, спра­вед­ли­вые для эта­но­ла:

 

1)  вы­тес­ня­ет уголь­ную кис­ло­ту из вод­но­го рас­тво­ра кар­бо­на­та на­трия

2)  вод­ный рас­твор НЕ из­ме­ня­ет окрас­ку ин­ди­ка­то­ров

3)  при вза­и­мо­дей­ствии с на­три­ем об­ра­зу­ет­ся эта­но­ат на­трия и во­до­род

4)  при окис­ле­нии может быть по­лу­че­на ук­сус­ная кис­ло­та

5)  при вза­и­мо­дей­ствии с бро­мо­во­до­ро­дом об­ра­зу­ет­ся бром­этан и вода

6)  в ла­бо­ра­то­рии по­лу­ча­ют ре­ак­ци­ей ще­лоч­но­го гид­ро­ли­за жиров

 

Ответ за­пи­ши­те в виде по­сле­до­ва­тель­но­сти цифр в по­ряд­ке воз­рас­та­ния, на­при­мер: 135.


Ответ:

41
Задание № 241
i

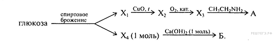
Опре­де­ли­те сумму мо­ляр­ный масс (г/моль) солей А и Б (X3  — ор­га­ни­че­ское ве­ще­ство), по­лу­чен­ных в ре­зуль­та­те сле­ду­ю­щих пре­вра­ще­ний:


Ответ:

42
Задание № 242
i

Смесь ал­ка­нов под­верг­ли пи­ро­ли­зу. В ре­зуль­та­те об­ра­зо­ва­лась смесь этена, про­пе­на и во­до­ро­да с мас­со­вой долей во­до­ро­да 1,94%. Вы­чис­ли­те мо­ляр­ную массу (г/моль) ис­ход­ной сме­сти ал­ка­нов.


Ответ:

43
Задание № 243
i

Соль А, из­вест­ная под на­зва­ни­ем рас­тво­ри­мое стек­ло, об­ра­зо­ва­на ме­тал­лом груп­пы IA. При про­пус­ка­нии из­быт­ка уг­ле­кис­ло­го газа через вод­ный рас­твор A об­ра­зу­ет­ся соль Б и плохо рас­тво­ри­мая в воде кис­ло­та В. При на­гре­ва­нии В раз­ла­га­ет­ся на воду и оксид Г. Сплав­ле­ние Г с содой при­во­дит к об­ра­зо­ва­нию ис­ход­ной соли А и не име­ю­ще­го за­па­ха га­зо­об­раз­но­го ве­ще­ства Д. Най­ди­те сумму мо­ляр­ных масс(г/моль) ве­ществ Б, Г, Д.


Ответ:

44
Задание № 244
i

Уста­но­ви­те по­сле­до­ва­тель­ность ре­а­ген­тов, с по­мо­щью ко­то­рых це­ле­со­об­раз­но осу­ществ­лять пре­вра­ще­ния по схеме

\ChemFormNaCl \reactrarrow0pt1 cm NaNO_3 \reactrarrow0pt1 cm HNO_3 \reactrarrow0pt1 cm Ca левая круг­лая скоб­ка NO_3 пра­вая круг­лая скоб­ка _2 \reactrarrow0pt1 cm Ca левая круг­лая скоб­ка OH пра­вая круг­лая скоб­ка _2:

1)  сер­ная кис­ло­та (конц.), t

2)  га­ше­ная из­весть

3)  гид­рок­сид калия

4)  нит­рат се­реб­ра(I)

 

Ответ за­пи­ши­те циф­ра­ми в по­ряд­ке сле­до­ва­ния пре­вра­ще­ний, на­при­мер: 1224.


Ответ:

45
Задание № 245
i

В четырёх про­ну­ме­ро­ван­ных про­бир­ках на­хо­дят­ся рас­тво­ры не­ор­га­ни­че­ских ве­ществ. О них из­вест­но сле­ду­ю­щее:

— ве­ще­ства из про­би­рок 1 и 4 ней­тра­ли­зу­ют друг друга;

— ве­ще­ства из про­би­рок 3 и 1 ре­а­ги­ру­ют между собой с об­ра­зо­ва­ни­ем го­лу­бо­го осад­ка?;

— при до­бав­ле­нии к со­дер­жи­мо­му про­бир­ки 2 ве­ще­ства из про­бир­ки 4 вы­па­да­ет белый оса­док.

Уста­но­ви­те со­от­вет­ствие между на­зва­ни­ем не­ор­га­ни­че­ско­го ве­ще­ства и но­ме­ром про­бир­ки, в ко­то­рой на­хо­дит­ся рас­твор дан­но­го ве­ще­ства.

НА­ЗВА­НИЕ ВЕ­ЩЕ­СТВА

А)  хло­рид бария

Б)  нит­рат меди(II)

В)  гид­рок­сид на­трия

Г)  сер­ная кис­ло­та

№ ПРО­БИР­КИ

1

2

3

4

Ответ за­пи­ши­те в виде со­че­та­ния букв и цифр, со­блю­дая ал­фа­вит­ную по­сле­до­ва­тель­ность букв ле­во­го столб­ца, на­при­мер: А2Б4В3Г1.


Ответ:

46
Задание № 246
i

Для удоб­ре­ния почвы на участ­ке пло­ща­дью 1 м2 не­об­хо­ди­мо вне­сти 9,30 г фос­фо­ра и 8,0 г азота. Рас­счи­тай­те массу (г) смеси, со­сто­я­щей из ам­мо­фо­са и ам­ми­ач­ной се­лит­ры, не со­дер­жа­щих при­ме­сей, ко­то­рая по­тре­бу­ет­ся для удоб­ре­ния участ­ка пло­ща­дью 14 м2. Мас­со­вая доля \ChemFormP_2O_5 в ам­мо­фо­се со­став­ля­ет 59,64%.


Ответ:

47
Задание № 247
i

К рас­тво­ру сер­ной кис­ло­ты мас­сой 256 г до­ба­вит смесь нит­ра­тов бария и свин­ца(II). За счет про­те­ка­ния ре­ак­ции масса рас­тво­ра уве­ли­чи­лась на 4,48 г, а мас­со­вые доли кис­лот в рас­тво­ре урав­ня­лись. Вы­чис­ли­те мас­со­вую долю (%) сер­ной кис­ло­ты в ис­ход­ном рас­тво­ре.


Ответ:

48
Задание № 248
i

Тер­мо­хи­ми­че­ское урав­не­ние ре­ак­ции син­те­за ам­ми­а­ка из про­стых ве­ществ \ChemFormN_2 (г.) + \ChemForm3H_2 (г.)  =  \ChemForm2NH_3 (г.) + 92 кДж. Смесь азота с во­до­ро­дом общим обье­мом 550 дм3 (н. у.) с от­но­си­тель­ной плот­но­стью по во­до­ро­ду 3,6 по­ме­сти­ли в ре­ак­тор для син­те­за ам­ми­а­ка. В ре­зуль­та­те ре­ак­ции от­но­си­тель­ная плот­ность смеси газов по во­до­ро­ду воз­рос­ла на 12 %. Рас­счи­тай­те ко­ли­че­ство теп­ло­ты (кДж), вы­де­лив­шей­ся ре­зуль­та­те ре­ак­ции.


Ответ:

49
Задание № 249
i

В ре­ак­тор по­сто­ян­но­го объёма по­ме­сти­ли смесь кис­ло­ро­да и озона хи­ми­че­ским ко­ли­че­ством 2 моль. В ре­зуль­та­те раз­ло­же­ния всего озона дав­ле­ние в ре­ак­то­ре уве­ли­чи­лось на 29% (дав­ле­ние из­ме­ря­ли при оди­на­ко­вой тем­пе­ра­ту­ре). Вы­чис­ли­те объём (дм3) ис­ход­ной смеси кис­ло­ро­да и озона (н. у.), не­об­хо­ди­мой для пол­но­го окис­ле­ния

ме­та­на мас­сой 12 г до уг­ле­кис­ло­го газа и воды.


Ответ:

50
Задание № 250
i

Опре­де­ли­те сумму мо­ляр­ных масс (г/моль) ве­ще­ства не­мо­ле­ку­ляр­но­го стро­е­ния X и ве­ще­ства мо­ле­ку­ляр­но­го стро­е­ния Y, об­ра­зо­вав­ших­ся по схеме


Ответ:
Завершить работу, свериться с ответами, увидеть решения.